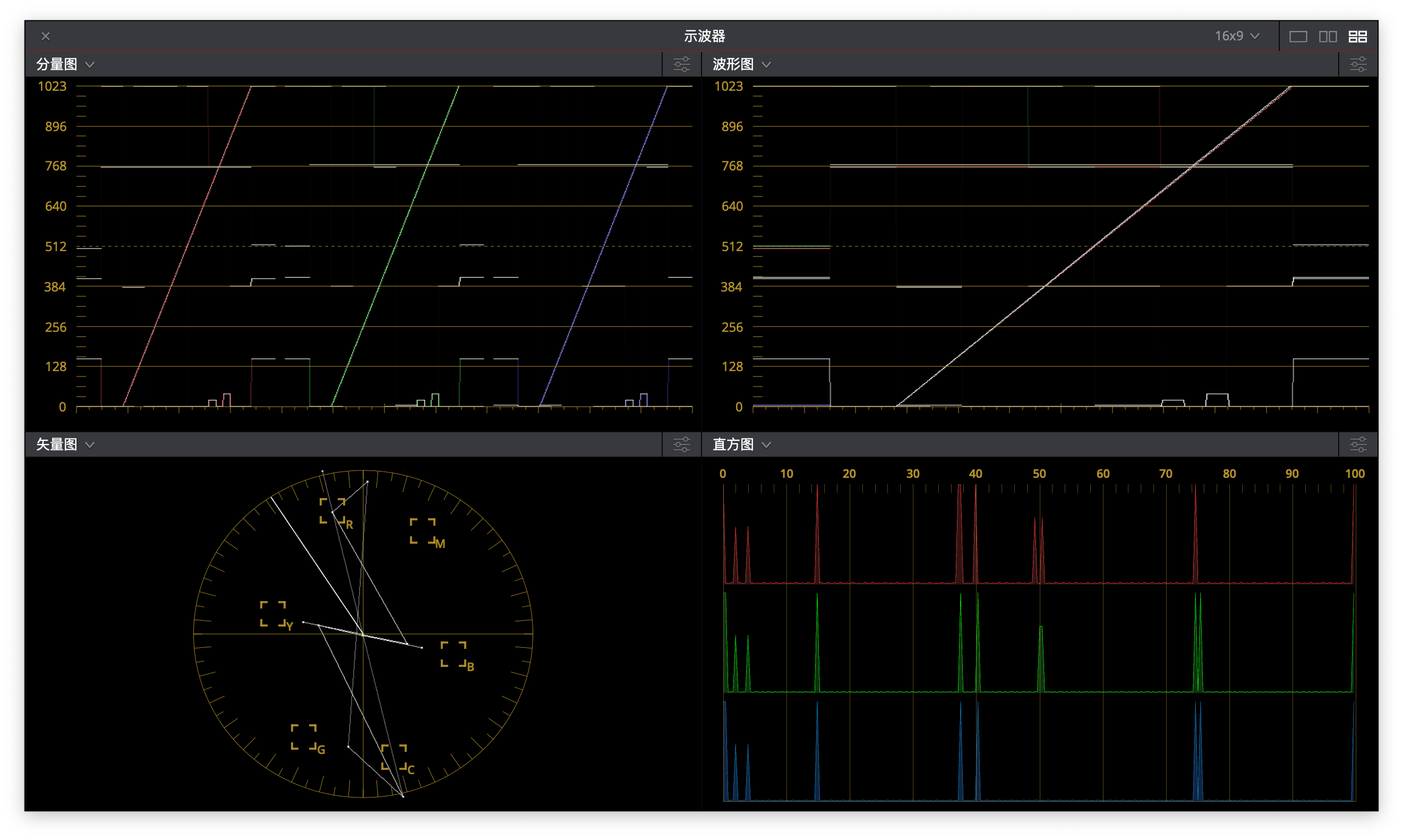
学习 | 模拟Techaicolor冲印效果 电影《飞行家》的调色风格原来是这样做成的。 tshaveanideaDecember 29, 2019Film 爱学习的ts又来啦,在2019年的年末终于完成了心心念念一年了的homeboy的会员订阅(一年599),从内容上来看这个定价,还是非常值得的(推荐你们都去订阅啦)。能学到很多东西,内容最多的当然是调色啦,另外DIT类的知识也不少,甚至还有一些少部分剪辑的技巧。简直是超值大礼包有没有。 因为这篇文章有点转载的意思(毕竟也是付费内容),所以在版权需要注明并非是我独立的原创(后面会放上原文链接)。博客不作为盈利项目,此外本篇文章涉及到的调色方法也是前人所总结的经验,总之,仅用做学习,不要用做他途。 原文链接:https://www.colorgradingtraining.com/detail/v_5d4abff2ae40b_HOJj5rt2/3。 先上电影里的几张截图 感受一下这个色彩风格 在这几个片段中,整体的色彩搭配是惯用的“对比色”配色方法,不过却不是现在流行的好莱坞式的“橙青”配色,而是更接近与‘红青“配色。值得注意的是,虽然我这里都管他们叫青色,但我所指的这两种青色是不同的,具体的,我可以用一张图来说明。 很好 这张图很好 Google很好 在一个“橙青”配色中,使用更多的是图中30度的颜色与190度-200度(或者200度多点)的配色方案,而第二种方案更像是0度到-180、190度的对比色配色方案。总而言之,在色相环上我们能够把这个差距以更加量化的方式呈现出来,而表现在影像中直观的感觉就和之前看到的那些好莱坞大片不一样。 之前一直认为这样的色彩风格需要使用曲线搭配色相vs色相工具来实现类似的效果(实际上也是可行的)。但无论我怎么想,我也绝对不会想到用RGB通道来实现这个效果,不得不说,前人的实践和理论真的太厉害了……另外对比第一种方法,第二种的方法更接近胶片的成像风格,无论是在高光的压制还是色彩倾向上(毕竟第二种就是冲着模拟胶片去的)。 逼逼完之后,就正式进入正题,谈谈如何用通道实现这个效果。 首先,先上一下homeboy给出的公式。 别看公式那么复杂,节点图那么多,其实从原理看,实现这个一点也不难。简单的说明一下,就是让最后输出的红通道减去原始的二分之一(亮度)的绿通道加上原始的二分之一(亮度)的蓝通道。绿、蓝两通道根据公式同理。 这么来看,就很简单了。唯一可能会有疑惑的是如何分通道处理,如何减去如何增加通道,以及如何实现二分之一亮度的通道。 首先,先来解决如何分通道处理。在老版本的达芬奇中,操作会比较复杂一些,而原文也正是使用老版本的达芬奇来进行演示。 下面我先说一下老版本的达芬奇。 首先你需要在达芬奇中建立这样三个并行节点 以红通道为例,当你把当前节点的RGB混合器改成这样,你就得到了一个红通道,其他的通道同理可得。 但如果你用的是新版本的达芬奇,就别这么干了,达芬奇已经在新版本中修改了很多逻辑,这样的方法是根本得不到单一的颜色通道的。如果你坚持这么干,你只能得到一个灰度通道。 那么新版本的达芬奇怎么对通道进行分离呢?很简单,达芬奇都给你准备好了。 不嫌麻烦的同学可以节点窗口下,选择分离器生成一个分离器节点,然后自己再增加校正器、结合器,最后在一个个连线……真麻烦 更方便的,我建议你直接上方菜单栏,快速创建已经分离好的节点图。或者你可以直接Option+Y。 当你看到这样的节点图,那就代表已经分离成功了。 从上到下,按顺序分别对应的是R、G、B三个通道。当然在这里,我们不需要用到后面的那个结合器,你可以直接删掉。 好的,分离通道这个问题就解决掉了。再来看如何实现二分之一亮度的通道。其实这个就更加简单了。 把新分离出来的几个通道亮部改成0.50就可以了。 不过别忘了,因为后面要实现通道相减、相加的操作,所以别忘了新分离一组RGB通道,在新分离的通道上进行操作。 上面这些都完成之后,接下来就很快了。创建一些图层混合节点、一些矫正器、一个混合器就可以了。具体节点图连接组成方式如下。 看着复杂而已 实际一步步理解公式之后也不难 然后把通道的前后两个图层混合节点的混合模式分别改成相减和相加,记得RGB三个通道每个对应的图层混合节点都需要改掉。 当你上面的步骤都完成了,接下来就简单了。连连看玩过吧,差不多就这意思,跟着公式走,连接好节点就完成这个效果了。 效果展示 前面多出来和后面多出来的节点是我自己根据画面加上去的,前者为了找回空中细节,后者为了抑制红色色相(后面会说)。没有特别认真的做调色,凑活着看哈。 后话 这样的调色方式是比较接近胶片的成像风格的,但在我使用的素材上(GH5 rec709),会出现红色过饱和的现象。虽然不知道是不是我的素材的原因,总之,建议在套用之后压一压红色部分的饱和度并适当调整一下红色的亮度值。这个现象在橙色的物体上特别明显,最直观的,人的皮肤受影响非常大。使用这个方法一定记得保护肤色。 另外,这种调色方法有很明显的收窄色相的功效,从而形成了非常强烈的色彩对比。 调色前 调色后 重点应该看矢量图的部分 这两张图应该已经能很清晰的显示颜色都是如何变化的,但如果你想研究每种颜色都是如何定量变化的,理论上也不是不行,使用以下rgb模型转化hsl模型的数学函数,将值代入,你就能清晰的看到每种的色相饱和度亮度。 你要是不想算 你也可以用公式将数值直接往ps里代入以黄色为例 使用这种模拟胶片的节点图之后 亮度降低了一半 至于其他的颜色想量化了解的自己慢慢去试吧。 Share this:TwitterTelegramEmailLike this:Like Loading... tshaveanidea ts, tssblog's owner, a.k.a. Lucas Articles: 86 Previous Post 21岁的我对DIT的些许认知 Next Post 使用体验 | 紫米65W电源适配器